Subiré

Física
Bloque 1 Semana 6A


Selecciona la opción correcta.

Elige la respuesta que complete en orden los siguientes enunciados :

1. La imagen muestra los elementos de una onda. Llena los espacios en blanco con los conceptos correctos.




a) El número 1 corresponde a la _________ de onda.
b) El número 2 corresponde al _________ .
c) El número 3 corresponde a la __________de onda.
d) El número 4 corresponde a la __________ de la onda.
e) El número 5 corresponde al ________ de la onda.



a) longitud - nodo - amplitud - cresta - valle.

b) nodo - amplitud - cresta - valle - longitud.

c) amplitud - nodo - longitud - cresta - valle.

2. La variación de la velocidad respecto del tiempo se llama:

a) Aceleración.

b) Fuerza.

c) Desplazamiento.

3. La ____________ es la variación de la velocidad de un cuerpo en movimiento en un instante dado.

a) distancia recorrida

b) velocidad instantánea

c) aceleración

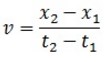
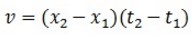
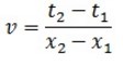
4. ¿Cuál de las siguientes expresiones permite calcular la velocidad promedio?

a)

b)

c)

5. ¿Cuál es la aceleración de un automóvil que disminuye su velocidad de 90 km/s a 30 km/s en 5 s?

a) -12 km/s²

b) 10 km/s²

c) 15 km/s²