Subiré

Física
Bloque 4 Semana 3B


Selecciona la opción correcta.

De la pregunta 1-3 completa los espacios en blanco con los conceptos correctos.
1. Un cuerpo que pierde electrones adquiere carga eléctrica ________ , mientras que e cuerpo que ganaelectrones adquiere carga eléctrica ________.

a) conductores - cargas

b) distancia - aislantes

c) positiva - negativa

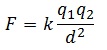
2. Charles Agustin Coulomb encontró que la fuerza entre dos cuerpos eléctricamente cargados es igual al producto de las ________ entre el cuadrado de la ________ que las separa.

a) cargas - distancia

b) conductores - aislantes

c) positiva - negativa

3. La corriente eléctrica puede circular por todos los materiales ________ mientras que no es posible que circule en los materiales ________.

a) conductores - aislantes

b) distancia - cargas

c) positiva - negativa

4. La _____________ es el movimiento ordenado de las partículas cargadas.

a) carga eléctrica

b) corriente eléctrica

c) potencia eléctrica

5. La ecuación que representa la Ley de Coulomb es:

a) F = ma

b)

c)