Subiré

Física
Bloque 5 Semana 1A


Selecciona la opción correcta.

1. Una alternativa para producir energía eléctrica a partir del movimiento es mediante la energía de las olas del mar; ésta se conoce como energía:

a) Eólica.

b) De oleaje.

c) Geotérmica.

2. La energía geotérmica está disponible en ciertas regiones del mundo, particularmente en las zonas de ___________.

a) actividad volcánica

b) gran oleaje

c) actividad sísmica

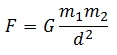
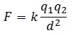
3. ¿Cuál es la ecuación que representa la ley de Coulomb?

a)

b)

c)

4. El uso de fuentes de energía renovable puede llevarnos a lo que se conoce como:

a) Calentamiento global.

b) Efecto invernadero.

c) Desarrollo sustentable.

5. ¿Cómo se escribe la velocidad de la luz en notación científica? 300 000 km/s

a) 3 × 105 km/s

b) 30 × 105 km/s

c) 3 × 10-5 km/s